当前位置:网站首页 > 校友之窗 > 校友名册 > 正文

校友名册

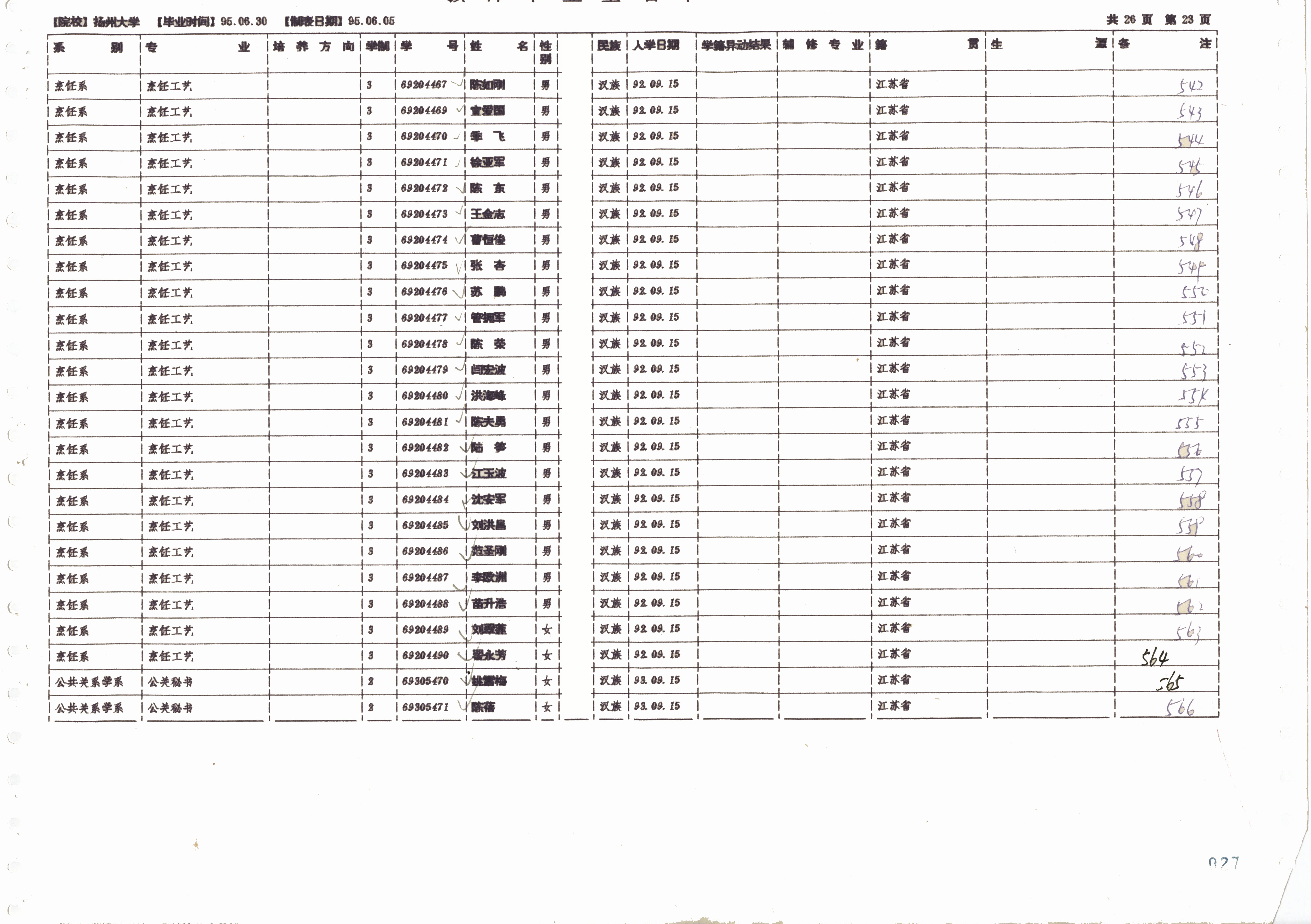
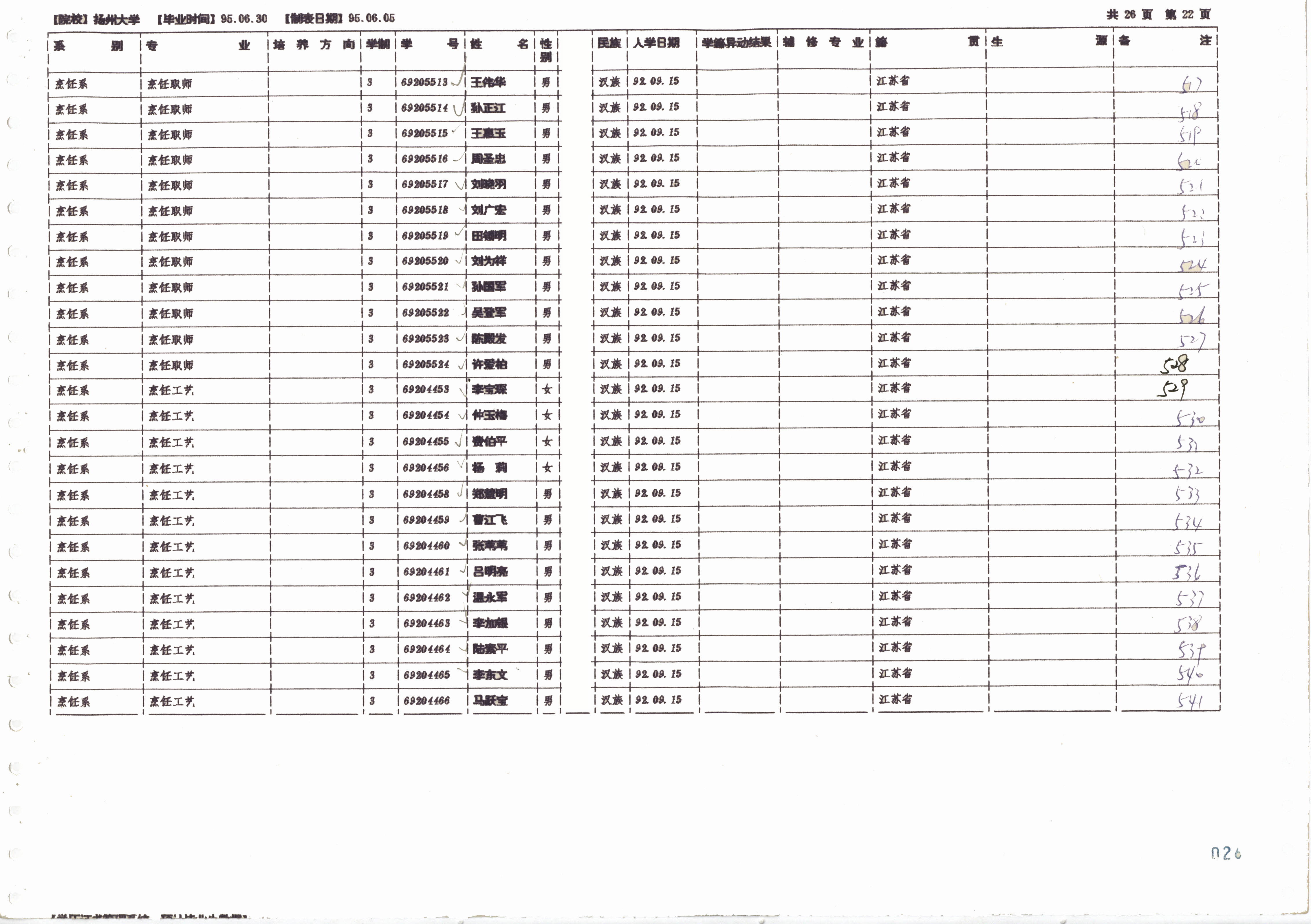
扬州大学旅游烹饪学院·食品科学与工程学院1992级校友名册

1992级烹饪职师(专)+1992级烹饪工艺(专)

1992级烹饪职师(专)+1992级烹饪工艺(专)

1992级烹饪职师(专)

1992级烹饪工艺(专)

1992级食品工程(本)

1992级食品工程(本)

1992级食品工程(本)

1992级食品工程(本)

1992级营养(本)


地址:扬州市华扬西路196号 邮编:225127 电话:87978002 E-mail:lyxy@yzu.edu.cn
版权所有:扬州大学旅游烹饪学院 苏公网安备 32100302010246号